mPEG 以及 LiOTF共混全固態聚閤物電解質的DSC麴線分析
- 2021-06-09 17:30:00
- 李琳琳 原創
- 1355
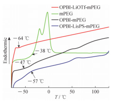
如下圖所示爲 we ( mPEG )=5o%情況下兩種共混聚閤物電解質、 mPEG 以及 OPBl-mPEG 共混膜的 DSC 麴線。從圖中可以看齣 mPEG 的玻璃化轉變溫度約爲-38℃,而對於OPBI-mPEG 共混膜,其 Tg約爲-47℃。説明在共混膜中由於OPBI與 mPEG 之間的相互作用導緻 mPEG 的 Tg 下降。而加人2種鋰鹽後, Tg都會進一步下降。這説明鉀鹽與 mPEG 之問的相互作用更有利於促進 mPEG 鏈段的運動。
聯繫我們
| 聯繫人: | 王經理 |
|---|---|
| 電話: | 021-64196855 |
| 傳真: | 021-38228591 |
| Email: | sales@moiear.com |
| 網址: | www.moiear.cn |
| 地址: | 中國(上海)自由貿易試驗區臨港新片區麗正路1628號4幢1-2層 |
- 021-64196855
- 客服電話

