mPEG 以及 LiOTF共混全固态聚合物电解质的DSC曲线分析
- 2021-06-09 17:30:00
- 李琳琳 原创
- 1337
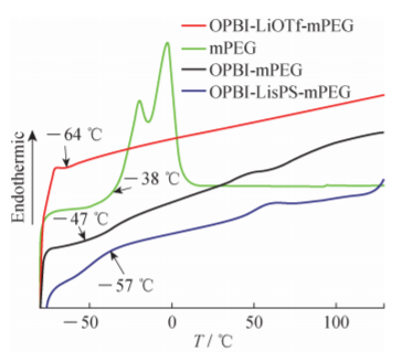
如下图所示为 we ( mPEG )=5o%情况下两种共混聚合物电解质、 mPEG 以及 OPBl-mPEG 共混膜的 DSC 曲线。从图中可以看出 mPEG 的玻璃化转变温度约为-38℃,而对于OPBI-mPEG 共混膜,其 Tg约为-47℃。说明在共混膜中由于OPBI与 mPEG 之间的相互作用导致 mPEG 的 Tg 下降。而加人2种锂盐后, Tg都会进一步下降。这说明钾盐与 mPEG 之问的相互作用更有利于促进 mPEG 链段的运动。
联系我们
| 联系人: | 王经理 |
|---|---|
| 电话: | 021-64196855 |
| 传真: | 021-38228591 |
| Email: | sales@moiear.com |
| 网址: | www.moiear.cn |
| 地址: | 中国(上海)自由贸易试验区临港新片区丽正路1628号4幢1-2层 |
- 021-64196855
- 客服电话

