地西他滨的合成路线(三氟甲磺酸锂作为催化剂)
- 2021-06-17 22:36:00
- 李琳琳 原创
- 1291
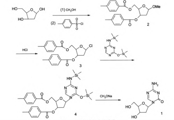
地西他滨,化学名为4-氨基-1-(-2-脱氧-B-D-赤型- 呋喃核糖)-1-3,5-三嗪-2(IH).酮,称5-杂氮-2’-脱氧胞苷,是一种2’- 脱氧胞苷类似物,临床主治骨髓增生异常综合症(Myelodysplasticsyndrome,MDS)。地西他滨是一种去甲基化药物,具有独特的甲基化转移酶抑制剂的治疗机制。作为一种2'-脱氧胞苷酸的腺苷类似物,地西他滨能在体内转化为5’-单磷酸脱氧胞苷类似物,在DNA聚合酶作用下渗入DNA中,抑制DNA的合成及甲基化,从而抑制肿瘤细胞增殖。
本研究以2-脱氧-D核糖为原料,在HCl的作用下先经甲醚化后与对甲基苯甲酰氯进行酰化,再在 三氟甲磺酸锂 作用下与5-氮杂胞嘧啶偶联得到1-(3,5二-O-对甲基苯甲酰基-2- 脱氧-D核糖1-5-氮杂胞嘧啶,最后经甲醇钠脱保护得到地西他滨如下图,总收率30.2%。
地西他滨的合成路线
实验试剂: 2一脱氧-D核糖,吡啶,对甲基苯甲酰氯,冰醋酸,乙酰氯,5-氮杂胞嘧啶,六甲基二硅胺烷, 三氟甲磺酸锂,甲醇钠,二氯甲烷,甲醇。
联系我们
| 联系人: | 王经理 |
|---|---|
| 电话: | 021-64196855 |
| 传真: | 021-38228591 |
| Email: | sales@moiear.com |
| 网址: | www.moiear.cn |
| 地址: | 中国(上海)自由贸易试验区临港新片区丽正路1628号4幢1-2层 |
- 021-64196855
- 客服电话

