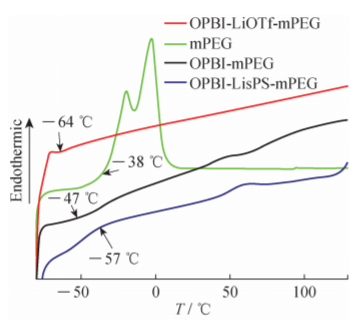
如下圖所示爲 we ( mPEG )=5o%情況下兩種共混聚閤物電解質、 mPEG 以及 OPBl-mPEG 共混膜的 DSC 麴線。從圖中可以看齣 mPEG 的玻璃化轉變溫度約爲-38℃,而對於OPBI-mPEG 共混膜,其 Tg約爲-47℃。説明在共混膜中由於OPBI與 mPEG 之間的相互作用導緻 mPEG 的 Tg 下降。而加人2種鋰鹽後, Tg都會進一步下降。這説明鉀鹽與 mPEG 之問的相互作用更有利於促進 mPEG 鏈段的運動。
如下圖所示爲 we ( mPEG )=5o%情況下兩種共混聚閤物電解質、 mPEG 以及 OPBl-mPEG 共混膜的 DSC 麴線。從圖中可以看齣 mPEG 的玻璃化轉變溫度約爲-38℃,而對於OPBI-mPEG 共混膜,其 Tg約爲-47℃。説明在共混膜中由於OPBI與 mPEG 之間的相互作用導緻 mPEG 的 Tg 下降。而加人2種鋰鹽後, Tg都會進一步下降。這説明鉀鹽與 mPEG 之問的相互作用更有利於促進 mPEG 鏈段的運動。