共混全固态聚合物电解质的电导率(Li0T作为锂盐)
- 2021-06-12 22:19:00
- 李琳琳 原创
- 1427
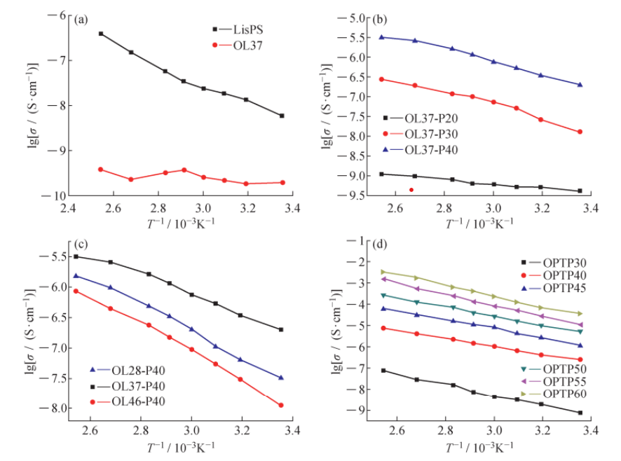
下图所示为共混全固态聚合物电解质的电导率-温度关系围。从图 (a)可 以看出. LisPS 本身 具备一定的电导率,并且随温度的升高,电导率也升高,其变化基本符合阿仑尼乌斯方程,在120摄氏度下电导率为5.45乘10的负七次方。与 OPBI共混后, 共混全固态聚合物电解质膜电导率急剧下降, 并且随温度升高电导率并无明显变化.说明了 OPBI 相会严重阻碍锂离子在膜中的传递,所以仅有 OPBI 与 LisPS两个组分时 共混全固态聚合物电解质膜电导率非常低。
图( b )所示为OPBI-LisPS-mPEG不同 mPEG 质量分数的电导率温度图, LisPS 与 OPBI 的比例固定,随着 mPEG 质量分数的增加,电导串显著提高、 室温电导率最高超过10的负七次方 S / cm ,并且3条曲线基本都符合阿仑尼乌斯方程,这说明 mPEG 的加人能够显著提高 共混全固态聚合物电解质膜电导率。
图( c )所示为OPB1-LisPs mPEG 共混全固态聚合物电解质膜的电导率-温度关系图。可以看出,并不是 LisPS 质量分数最高的OL28P40电导率最高、相对的, LisPs 质量分数中等的OL37-P40电导率最高,这与锂盐的解离程度有关。当 LisPs 质量分数过低时,锂离子浓度太低,而 LisPS 质量分数高时,其中的磺酸锂未能完全解离,因此电导率也会变低(相比于OL37-P40)
图( d )所示为 OPBI- LiOTF-mPEG 随着 mPEG 质量分数的变化的电导率的变化曲线。可以看出。随着 mPEcG质量分数的增加,膜的电导率不断升高。当 w ( mPEG )为 60%时,其室温电导率可以达到3.58乘1o* -5S / cm 。在120℃下电导率可以达到33x10-3Sc\m。高温下完全满足对锂离子电池的使用要求,这是因为使用的 mPEG 分子量较小(M=350),因此 mPEG 链段具有良好的运动能力,并且在其质量分数很高时,具有很高的电导率,高温下能够满足对锂二次电池的使用需求。
| 联系人: | 王经理 |
|---|---|
| 电话: | 021-64196855 |
| 传真: | 021-38228591 |
| Email: | sales@moiear.com |
| 网址: | www.moiear.cn |
| 地址: | 中国(上海)自由贸易试验区临港新片区丽正路1628号4幢1-2层 |
- 021-64196855
- 客服电话

