锂离子电池(LiOTF)用磷腈类聚合物电解质--六氯环三磷腈的开环聚合
- 2021-06-14 10:35:00
- 李琳琳 原创
- 1206
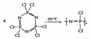
目前聚磷腈高分子的合成方法主要有热开环聚合(本体聚合)、溶液聚合以及室温“活性阳离子”聚合等。由于在高分子电解质中用到的聚磷腈高分子多为烷氧基、苯氧基和胺基聚磷腈衍生物,因而研究人员多采用先热开环聚合,得到聚二氯磷腈,再通过取代反应连上不同功能化侧链。将环状的氯代磷腈三聚体于真空条件下在250℃开环聚合得长链聚合物,反应式见式如下图所示:
由于热开环法需要较高的反应温度(在200~300℃),如何提供高温反应环境便是在研究中遇到的难题。 考虑到热开环法的反应时间较长(一般在10 h以上)、加热源能够长时间连续保持且在反应过程中安全和不污染环境,选择了操作控制方便,最高设定温度能达到1 000℃的陶瓷马福炉作为反应器。在多次反复实验中得出;最优的反应温度在240~260℃,反应时间在15~25 h。
当六氯环三磷腈在真空封管中热聚合完毕后,将安培瓶隔绝空气,在石油醚中打碎,洗去未反应的三聚体,之后将线性聚二氯磷腈溶解在溶剂中。一开始,使用四氢呋喃作为溶剂,搅拌5 h后渐渐溶解,溶液呈透明,这时的溶液即可留待下步反应。在研究过程中观察到:第1天还澄清透明的溶液,第2天上午已经变得浑浊,下午更变得分层,盛溶液的磨口瓶底部甚至出现了如生蛋清的浅白色弹性沉淀,用玻璃棒搅拌溶液,浅白色弹性沉淀不消失,几个小时后沉淀变为白色。之后又选择了苯、甲苯作溶剂,发现也出现了相似的情况。可见聚二氯磷腈溶液只能在干燥环境和一定温度范围内短暂保存,长时间存放会使聚合物发生凝胶。
| 联系人: | 王经理 |
|---|---|
| 电话: | 021-64196855 |
| 传真: | 021-38228591 |
| Email: | sales@moiear.com |
| 网址: | www.moiear.cn |
| 地址: | 中国(上海)自由贸易试验区临港新片区丽正路1628号4幢1-2层 |
- 021-64196855
- 客服电话

